
こんにちは。社会保険労務士の鈴木です。今回は、厚生労働省が発表した令和7年度の地域別最低賃金の答申内容をもとに、改定の内容と企業・働く方双方にとって知っておきたいことをわかりやすく解説します。
令和7年度最低賃金改定の概要
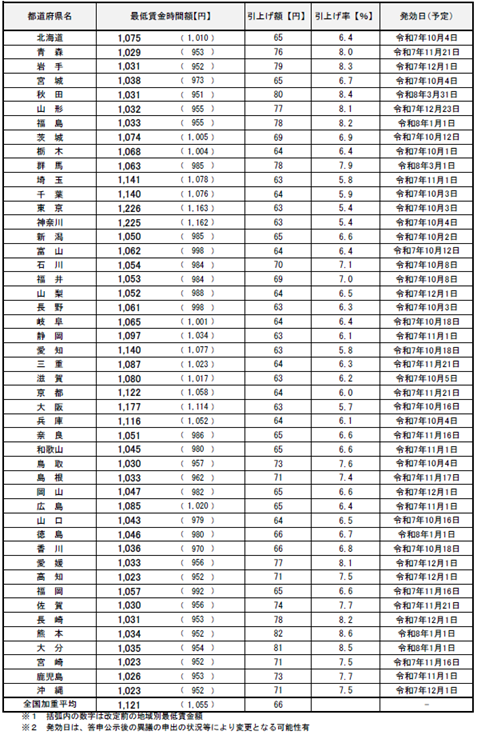
厚生労働省によれば、令和7年度の地域別最低賃金の答申結果は次のような内容です。
項 目 | 内 容 |
---|---|
【全47都道府県での引き上げ額の範囲】 | 引き上げ額は 63円~82円。 都道府県ごとに差があり、最大82円アップの県も。 |
【全国加重平均額】 | 1,121円/時間。前年度の1,055円から 66円の引き上げ。 |
【最高額と最低額】 | 最高額は1,226円、最低額は1,023円。 その比率は 83.4%。昨年度の81.8%から改善。 |
【発効時期】 | 各都道府県で、都道府県労働局長の決定を経て、令和7年10月1日から令和8年3月31日の間に、順次発効予定。 |
なぜ今回の改定が重要か
-
生活コストの上昇への対応
物価・生活費の上昇が続く中、人件費の底上げが最低賃金の引き上げという形でなされることは、労働者の生活維持にとって決して小さな意味ではありません。 -
賃金格差の是正の動き
最高額と最低額の比率が昨年より改善しており、地域間の賃金格差を少しずつ縮める方向性が見られます。都心部と地方との賃金差を無視できない中、このような改善は地方でも影響があります。 -
企業負担の増加
最低賃金が上がるということは、特に中小企業やパートタイム勤務の多い業種では人件費コストの見直しが必要になります。経理・予算の再設定、人件管理の方法、従業員の労務管理などに影響が出てくるでしょう。
企業が対応しておくべきこと
最低賃金の改定にあたり、経営者・人事労務部として準備しておきたい事項を挙げます。
-
給与体系の見直し
最低賃金を下回っていないか確認。特にパート・アルバイト契約、深夜業務・残業代計算時の基準賃金など。 -
労働契約書・シフト表等の確認
雇用契約時の基本給や時給が最低賃金を下回っていないこと、シフト・勤務時間に応じた支払いが適正かどうかをチェック。 -
人件費予算の再策定
全体の人件費が上がる見込みがあるので、収益計画・予算計画を改定。必要であれば経営の効率化を図る。 -
労働条件通知書や就業規則の整備
最低賃金の改定に伴い、労働条件の通知内容を更新すること。就業規則で賃金に関するルールを明記している場合は、関連条項の見直しを。 -
社員・アルバイトへの説明
変更後の時給や支払い体系について、従業員に分かりやすく説明し、納得を得ておく。また、モチベーション維持のためにも透明性を持たせることが望ましい。
働く人が押さえておきたいこと
働く側としても、自分の権利を守るために以下を確認しておきましょう。
-
自身の時給が最低賃金以上かどうか確認
居住地の都道府県の最低賃金(発効後)と比べて、自分の時給・賃金が下回っていないか。もし下回るようであれば、使用者に見直しを求めることができます。 -
勤務形態や手当の取り扱いに注意
深夜勤務・残業勤務・休日勤務などに対する割増手当、通勤手当・住宅手当等の非賃金部分が最低賃金の計算に含まれるかどうかなど。最低賃金には「時間給」がベースとなるものの、手当の有無・形態で実際の支給額が変わってきます。 -
最低賃金の発効日をチェック
都道府県によって発効開始日は異なります(10月1日から3月31日の間。福島県令和8年は1月1日)。発効前と後で変わることがありますので、自分の所轄県の発効日を把握しておくと安心です。
注意すべき点・今後の動き
-
最低賃金はあくまで“最低限の基準”であり、地域・業界・企業規模などによって適正な賃金はさらに上がるべき、という議論が続いています。
-
コスト上昇(原材料・光熱費など)や物流・人材確保の課題がある中で「最低賃金引き上げ」は企業経営へのプレッシャーとなるため、政府・自治体の支援策(助成金・補助金等)がどう展開されるかにも注目が集まっています。
-
引き上げ率が高い地域では、とくに中小・零細企業が影響を強く受ける可能性があります。労務管理の効率化、人員配置の見直しなどが必要になることも。
まとめ
令和7年度の最低賃金改定は、全国平均で 1,121円/時間 と、現行制度の中で高い引き上げ幅(66円)を記録し、地域間格差の改善が少しずつ進む動きが見られます。
企業側はコスト・制度の調整、従業員への説明など、準備すべき対応が多岐にわたるため、できるだけ早めの対応をおすすめします。働く側も、改定後の最低賃金額・発効日などをきちんと把握しておくことが大切です。
もし必要であれば、お住まい(事業所)の都道府県別の具体的な改定額比較や、自社への影響シミュレーションも承りますので、お気軽にご相談ください。